Link to originalExists a unique positive real number such that
Proof - Existence
Let
As then is non-emptyAs for then and hence therefore is an upper bound of
By completeness axiom then exists and let
As so
Then by trichotomy then
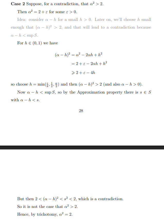
- Suppose for contradiction that then
Remember that as is an upper bound for
For thenNote that on the third line we are using and for
Let
We pick just to ensure that is between and and so that (safely)
- …
Proof - Uniqueness is also a positive real number such that then
Suppose that
As then hence
Link to originalis not complete (with the ordering inherited in )
Link to originalReal integer roots for integers
Let be an integer with , and take a positive real number then
